Trình duyệt của bạn đã tắt chức năng hỗ trợ JavaScript.
Website chỉ làm việc khi bạn bật nó trở lại.
Để tham khảo cách bật JavaScript, hãy click chuột
vào đây
!
TRANG CHỦ
GIỚI THIỆU
TỔ CHỨC
VĂN BẢN
TIN TỨC
Tin hoạt động ngành
Tin tức nhà trường
Những tấm gương tiêu biểu
Nhịp sống học đường
CHUYÊN MÔN
Kế hoạch chuyên môn
Sinh hoạt chuyên môn
Bồi dưỡng thường xuyên
TÀI NGUYÊN
Bài giảng điện tử
Giáo án điện tử
Đề thi
Sáng kiến kinh nghiệm
Tài liệu tham khảo
Phần mềm hỗ trợ
THỜI KHÓA BIỂU
HÌNH ẢNH
VIDEOS
Về trang chủ
Sở GD&ĐT Hà Tĩnh
Phòng GD&ĐT Thị xã Kỳ Anh
Sơ đồ website
Đăng nhập
/
Đăng ký
Đăng ký thành viên
Để đăng ký thành viên, bạn cần khai báo tất cả các ô trống dưới đây
Giới tính
N/A
Nam
Nữ
Bạn thích môn thể thao nào nhất
Món ăn mà bạn yêu thích
Thần tượng điện ảnh của bạn
Bạn thích nhạc sỹ nào nhất
Quê ngoại của bạn ở đâu
Tên cuốn sách "gối đầu giường"
Ngày lễ mà bạn luôn mong đợi
Tôi đồng ý với
Quy định đăng ký thành viên
Trang nhất
Giới thiệu chung
quyet-dinh-so-1373-qd-ubnd-ngay-03-6-2024
Thứ sáu - 14/06/2024 09:32
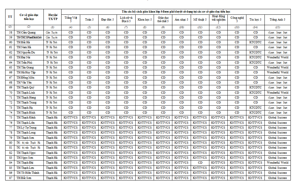
QUYẾT ĐỊNHPhê duyệt Danh mục sách giáo khoa lớp 5, lớp 9, lớp 12 sử dụng trong các cơ sở giáo dục phổ thông trên địa bàn tỉnh Hà Tĩnh từ năm học 2024 - 2025
QUYẾT ĐỊNH SỐ 1373/ QĐ- UBND- NGÀY 03/6/2024
Tổng số điểm của bài viết là: 0 trong 0 đánh giá
Click để đánh giá bài viết
Tweet
Ý kiến bạn đọc
Sắp xếp theo bình luận mới
Sắp xếp theo bình luận cũ
Sắp xếp theo số lượt thích
Bạn cần đăng nhập thành viên để có thể bình luận bài viết này
Những tin mới hơn
TRƯỜNG THCS KỲ HÀ TỔ CHỨC CUỘC THI “ RUNG CHUÔNG VÀNG- HÀNH TRÌNH CHINH PHỤC TRI THỨC” VÀ LAN TỎA YÊU THƯƠNG
(24/01/2025)
TRƯỜNG THCS KỲ HÀ – KHAI MẠC HỘI KHỎE PHÙ ĐỔNG NĂM HỌC 2024- 2025
(28/02/2025)
CÔNG AN PHƯỜNG HẢI NINH TẤM GƯƠNG TẬN TỤY, HẾT MÌNH VÌ NHÂN DÂN SAU BÃO KAJIKI
(26/08/2025)
GIẢI PICKLEBALL – TRANH CÚP QUÁN DÊ BÌNH TRỔ LẦN THỨ NHẤT CHÀO MỪNG 80 NĂM QUỐC KHÁNH 2/9
(28/08/2025)
CÔNG ĐOÀN TRƯỜNG THCS KỲ HÀ TỔ CHỨC MÍT TIN KỶ NIỆM NGÀY PHỤ NỮ VIỆT NAM 20/10 NĂM 2024
(19/10/2024)
HOẠT ĐỘNG NGOẠI KHÓA “TUYÊN TRUYỀN GIÁO DỤC PHÁP LUẬT VỀ AN TOÀN GIAO THÔNG, PHÒNG CHỐNG MA TUÝ VÀ TỆ NẠN XÃ HỘI NĂM HỌC 2024-2025 ”.
(19/09/2024)
TRƯỜNG THCS KỲ HÀ TỔ CHỨC KHAI GIẢNG NĂM HỌC MỚI 2024- 2025
(12/09/2024)
TRƯỜNG THCS KỲ HÀ THAM GIA PHONG TRÀO HIẾN MÁU NHÂN ĐẠO NĂM 2024
(16/09/2024)
CHI BỘ TRƯỜNG THCS KỲ HÀ TỔ CHỨC ĐẠI HỘI NHIỆM KỲ 2024 - 2027
(17/09/2024)
TRƯỜNG THCS KỲ HÀ TỔ CHỨC KHAI GIẢNG NĂM HỌC MỚI 2024- 2025
(12/09/2024)
Những tin cũ hơn
Số: 1373/QĐ-UBND Hà Tĩnh, ngày 03 tháng 6 năm 2024
(14/06/2024)
BÁO CÁO KẾT QUẢ TỔ CHỨC NGÀY SÁCH VÀ VĂN HÓA ĐỌC NĂM 2024
(22/04/2024)
HOẠT ĐỘNG NGOẠI KHÓA TUYÊN TRUYỀN PHÒNG CHỐNG ĐUỐI NƯỚC TAI NẠN THƯƠNG TÍCH VÀ GIÁO DỤC PHÁP LUẬT TRẬT TỰ ATGT CHO HỌC SINH.
(11/04/2024)
CÔNG ĐOÀN TRƯỜNG THCS KỲ HÀ TỔ CHỨC HOẠT ĐỘNG TRẢI NGHIỆM DÃ NGOẠI NHÂN NGÀY QUỐC TẾ PHỤ NỮ 8/3/2024
(09/03/2024)
KẾ HOẠCH Tổ chức Tuần lễ hưởng ứng học tập suốt đời
(07/11/2023)
LỄ KHAI GIẢNG NĂM HỌC MỚI 2023- 2024
(06/09/2023)
Quyết định số 1330QĐ-UBND ngày 0962023 của UBND tỉnh Hà Tĩnh
(25/06/2023)
Liên đội sơ kết tháng 10, triển khai kế hoạch tháng 11
(06/11/2020)
THÔNG BÁO CỦA QUẢN TRỊ TRANG WEB NHÀ TRƯỜNG
(05/01/2019)
TRƯỜNG THCS SÔNG TRÍ THAM GIA CUỘC THI SÁNG TẠO KHKT CẤP TỈNH
(03/02/2018)
DANH MỤC
Tin tức - Sự kiện
Hoạt động ngành
Tin tức nhà trường
Hoạt động chuyên môn
Kế hoạch chuyên môn
Sinh hoạt chuyên môn
Bồi dưỡng thường xuyên
Thời khóa biểu
Những tấm gương tiêu biểu
Công Đoàn - Đoàn - Đội
Trang nhà giáo
Bài viết học sinh
HỆ THỐNG NGHIỆP VỤ
Hệ thống thông tin PCGD XMN
Đào tạo bồi dưỡng trực tuyến
Quản lý thiên tai rủi ro giáo dục
Hệ thống quản lý giáo dục
Kiểm định chất lượng giáo dục
Trường học kết nối
Bài giảng e-Learning
VIDEOS
GS Hoàng Chí Bảo kể chuyện về Bác Hồ
ALBUM ẢNH
Liên kết website
Chọn một liên kết
Trường cao đẳng y dược Sài Gòn
Thiết kế website
Phòng GD&ĐT Thị xã Kỳ Anh
THỐNG KÊ
Đang truy cập
23
Hôm nay
227
Tháng hiện tại
1,732
Tổng lượt truy cập
577,973
Bạn đã không sử dụng Site,
Bấm vào đây để duy trì trạng thái đăng nhập
. Thời gian chờ:
60
giây
Thành viên đăng nhập
Hãy đăng nhập thành viên để trải nghiệm đầy đủ các tiện ích trên site
Nhập mã xác minh từ ứng dụng Google Authenticator
Thử cách khác
Nhập một trong các mã dự phòng bạn đã nhận được.
Thử cách khác
Đăng nhập